摘要
对高山湖泊浮游动物(如枝角类)群落和生物量以及食物网碳源的变化研究有助于加深对湖泊生态系统响应区域气候环境变化的认识。本研究对滇西北高山湖泊太极湖钻孔沉积物进行多指标分析,包括枝角类亚化石组合、浮游枝角类Daphnia休眠卵和营底栖生活的摇蚊头壳稳定碳同位素(δ13C)以及地球化学指标(TN、TP、δ15N和C/N等),以了解该地区高山湖泊近200年来枝角类对区域环境变化的响应模式和食物网碳源变化特征。结果表明,湖泊营养水平(如TN含量)在近200年来呈上升趋势,分析显示流域输入和大气氮沉降是湖泊TN含量上升的主要因素,同时区域增温和营养盐富集促进了湖泊初级生产力(沉积物叶绿素a)持续上升。钻孔中枝角类群落以沿岸种美丽尖额溞(Alona affinis)和兼浮游种圆形盘肠溞(Chydorus sphaericus)为主要优势种,1860s-1970s期间枝角类群落结构较为稳定,1970s以来A. affinis相对丰度上升,C. sphaericus相对丰度下降。冗余分析显示,年均气温和湖泊初级生产力(沉积物叶绿素a)是影响枝角类群落演替的显著环境因子。浮游枝角类溞属(Daphnia)休眠卵δ13C值自1940s来发生了明显变化,1860s-1940s期间Daphnia休眠卵δ13C值偏负,而湖泊初级生产力较低,且C/N值较高,表明这一时期湖泊浮游碳源明显受到陆源输入的影响。1940s-2020s期间Daphnia休眠卵δ13C值明显富集,可能受到了湖泊初级生产力上升和底栖藻类相对丰度增加的影响。摇蚊头壳δ13C值相较于Daphnia休眠卵变化较小,仅在1990s-2010s期间出现偏负趋势,可能是降水增加导致陆源有机质在底栖碳源组成中的占比上升。Daphnia休眠卵的δ13C值与摇蚊头壳的δ13C值变化存在差异,表明浮游和底栖碳源对两者δ13C信号具有差异性影响。本研究发现区域气候变化和流域输入改变了高山湖泊的生产力水平和食物网碳源组成,最终影响了枝角类群落结构和水生生物的稳定碳同位素特征。
Abstract
Studies about changes of zooplankton (e.g., Cladoceran) community and biomass, as well as the carbon sources of food web in alpine lake will deepen the understanding of lake ecosystem response to regional climatic and environmental changes. In this study, multi-index analysis of sediment core was carried out in Lake Taiji, an alpine lake in Northwest Yunnan, including the subfossil assemblage of cladoceran, the stable carbon isotope (δ13C) of Daphnia ephippia and chironomid headshield, and geochemical indicators (total nitrogen (TN), total phosphorus (TP), δ15N and C/N etc.), in order to understand the response pattern of cladoceran to regional environmental change and the characteristic of carbon sources change in the food web in the alpine lake during the past 200 years. Changes of TN suggested that the lake nutrient level was continue increasing in the past 200 years. Analysis suggested that exogenous inputs from the catchment and atmospheric nitrogen deposition were the main factors which driving the nutrient enrichment, regional warming and nutrient enrichment also promoted the enhancing of lake primary productivity (chlorophyll-a). Cladoceran community was dominated by littoral species Alona affinis and the facultative planktonic species Chydorus sphaericus. Before 1970s, there was no significant change of cladoceran community, after then, the relative abundance of C. sphaericus was decreased, associated with increase of A. affinis. Redundancy analysis shown that the annual average temperature and primary productivity (chlorophyll-a) were the main driving factors for the succession of cladoceran community in the past 200 years. For the stable carbon isotope values (δ13C), the δ13C of Daphnia ephippia was negative from 1860s to 1940s, probably attributed by the inputs of exogenous material, which supported by the lower lake primary productivity and higher C/N in this period. From 1940s to 2020s, the δ13C of Daphnia ephippia was significantly enriched, which may be affected by the enhanced primary productivity as well as the increase abundance of benthic algae. The δ13C value of chironomid headshell shown minimal change in the past 200 years, only had a negative trend from 1990s to 2010s, probably related to the increase inputs of terrestrial debris which driving by the increase precipitation in this period. Discrepancy in δ13C values between the Daphnia ephippia and chironomid headshield, indicated that there were different organic carbon composition in the planktonic and littoral zone, and affected by the changes of lake primary productivity and terrestrial inputs. Those findings reveal that regional climate change and catchment inputs changed the productivity and carbon source composition of aquatic food web in alpine lake, and ultimately affected the cladoceran community composition and stable carbon isotope values of aquatic organisms.
Keywords
高山湖泊通常位于偏远地区,远离人类活动直接干扰,对气候环境变化响应敏感[1]。监测记录显示,高海拔地区的增温效应较其他地区更为显著[2],这些地区湖泊生态系统出现了明显变化[3]。气候变暖导致湖泊水体变化(如水温升高、水体分层),促使高山湖泊无冰期时间延长,促进浮游植物的生长,引起内源有机质增多[4]。同时受气候变暖影响,高山湖泊小型或底栖属种硅藻出现逐渐增加的趋势[3,5]。此外,不断增强的大气活性氮等营养物质的沉降也为高山地区生态系统提供了重要的营养输入[6],不仅促进流域植被发育,还影响湖泊营养元素循环过程[7],改变湖泊营养限制状况[8],引起高山湖泊初级生产力上升和浮游生物群落结构改变[5,9]。
湖泊系统中有机质由内源(浮游植物、沉水植物和挺水植物等)和外源(陆生植物等)组成[10],主要受湖泊内源生产力与流域输入变化的影响[11]。尽管内源有机质(浮游植物)是湖泊浮游动物重要的能量(有机碳)来源,但对不同营养梯度湖泊调查显示,外源有机碳也是贫营养湖泊食物网碳源的重要组成部分,贫营养湖泊中外源有机碳的贡献可达22%~70%[12],因此流域输入变化可能会对高山贫营养湖泊食物网碳源产生重要影响[10]。气候变暖不仅促进了高海拔地区树线抬升和流域植被发育,导致陆源颗粒有机物输出增多,还通过影响土壤干湿环境、微生物活性来促进流域土壤中溶解性有机碳的释放,进而导致湖泊中有机质浓度和来源发生改变[13]。
浮游动物稳定碳同位素(δ13C)逐渐成为古湖沼学研究的重要手段[14-15],广泛应用于示踪湖泊食物网碳源变化特征及影响因素[16]。浮游动物δ13C值随营养级的富集效应较弱(0.1‰~0.4‰)[17],其变化主要受食物来源及其同位素组成的影响[18]。枝角类几丁质的外壳或休眠卵能在沉积物中较好地长期保存,可以精确地记录其生长期的环境信息,且不被成岩作用等其他地球化学过程或生物过程干扰[16]。浮游枝角类Daphnia主要在敞水区滤食[19],其δ13C值变化主要反映了敞水区碳源变化[20]。研究发现,浮游枝角类Daphnia及其休眠卵与食物组成有显著相似的δ13C信号,仅分别出现0.5‰±0.3‰和0.7‰±0.2‰的富集[21]。在欧洲和西伯利亚地区,枝角类Daphnia休眠卵δ13C值已经很好地用于湖泊营养水平[22]、食物网碳源组成[23]、古气候[24]等方面的重建研究。此外,摇蚊是湖泊底栖生物重要组成部分,摇蚊头壳δ13C值也被普遍用于食物网重建研究,可以很好地指示湖泊底栖食物网碳源的变化特征[25]。
目前国内应用枝角类和摇蚊亚化石δ13C值重建湖泊食物网碳源变化的研究还很少。Cheng等[26]在太湖的研究发现,1980年以来,随湖泊营养水平的持续上升,浮游植物蓝藻大量繁殖,浮游枝角类Bosmina的δ13C值也出现偏负的趋势。已有的湖泊食物网碳源变化研究多集中于受人类活动干扰较强的富营养化水体[26-27]。高山贫营养湖泊受人类活动的直接影响较小,其食物网碳源如何响应气候长期变化仍不明确。本研究选择滇西北高山湖泊太极湖为研究对象,通过分析沉积物多指标,重建了近200年来湖泊环境的变化历史,并对浮游动物Daphnia休眠卵和摇蚊头壳进行稳定碳同位素分析,旨在揭示气候环境变化对高山湖泊食物网中的碳源组成和循环过程的影响,探究浮游和底栖生物对湖泊食物网碳源组成变化的响应特征。
1 研究区概况
太极湖位于云南省大理白族自治州剑川县、丽江玉龙纳西族自治县、兰坪白族普米族自治县和维西傈僳族自治州交界处(图1),海拔为3912 m,湖泊面积为1.84 hm2,最大水深仅为3.5 m,透明度为2 m,是典型的高山浅水湖泊。该地区受印度季风、青藏高原气团以及西风急流共同影响,加上较高的海拔与复杂的地形地势,山地立体气候复杂。湖泊主要接受大气降水以及流域内高山的溪水和冰雪融水补给,无明显入湖径流,北部有一出水口与下游湖泊相连。水体总磷(TP)浓度为0.01 mg/L,总氮(TN)浓度为0.39 mg/L,营养水平低。水体颜色呈棕褐色或棕色,pH为5.9,呈弱酸性。该湖位于树线以下,湖周森林繁茂,流域植被由以铁杉、冷杉为主的针叶林和高山杜鹃灌丛组成,林线以上以高山草本草甸和岩石碎屑为主[28]。该流域地处偏远,受人类活动的直接影响较小。

图1湖泊位置(a)、流域形态(b)、太极湖等深图及采样点(c)
Fig.1Lake position (a) , basin shape (b) , Lake Taiji contour map and sampling site (c)
2 材料与方法
2.1 野外采样与沉积物定年
2021年8月,使用Hon-Kajak大口径(直径9 cm)重力采样器在太极湖湖心水深3.5 m处(图1c)采集了74 cm长的沉积物钻孔。现场对沉积物钻孔以1 cm间隔进行分样,避光、冷藏运回实验室后立即在4℃冷库中避光保存,用于理化指标分析。现场用多参数水质仪(YSI 6600)测定溶解氧(DO)浓度、pH值、电导率、浊度等指标,利用测深仪和赛氏盘测定湖泊水深和水体透明度,并采集湖泊水样低温保存带回实验室进行TP和TN等水化学指标分析。
实验室内,首先利用美国Canberra公司生产的高纯锗探测器测定沉积物中的放射性核素210Pb和137Cs比活度,利用210Pb比活度衰变的CRS模型(the constant rate of supply model)和137Cs比活度的峰值(1963年)分别对沉积物钻孔进行年代序列的建立与校准[29],通过不同深度对应的年代和沉积物样品重量计算出沉积通量(DMAR),指示每平方厘米每年累积的沉积物样品重量(g/(cm2·a))。本文重点分析了太极湖钻孔顶部18 cm,时间跨度近200年(1860—2021年)的沉积物样品。
2.2 枝角类亚化石分析
沉积物枝角类样品的处理参照Szeroczyńska等的方法进行[30]。称取约0.1 g干重样品加入100 mL 10%的KOH溶液,并在60℃电热板上加热1 h以去除有机质,样品清洗后用38 μm孔径的滤网过滤,收集滤网上的残留物进行染色制片,然后在徕卡显微镜(DM 2500)下放大200倍进行种类鉴定。统计时把所有亚化石残体(头壳、壳瓣、后腹部、尾爪)都进行统计,选择数量最丰富的片断进行计数来代表枝角类个体数。每个样品中的枝角类统计数均达100以上,以减小数据统计的误差。统计出的枝角类用相对丰度和沉积通量两种方式表达。相对丰度为样品中某个物种的个体数占枝角类总个体数的比例(%),枝角类通量用于指示枝角类生物量,指每平方厘米每年沉积的枝角类个体数(ind./(cm2·a))。
枝角类和摇蚊头壳亚化石同位素样品的处理分别参照Perga[16]和van Hardenbroek等[25]的方法进行。枝角类和摇蚊亚化石样品的前处理方法相同,首先将10%的KOH溶液加入装有沉积物样品的烧杯中,在电热板上加热至60℃持续30 min以去除有机质,然后用超纯水冲洗样品,将样品转移到含有10%盐酸(HCl)的烧杯中5 min去除碳酸盐,再用超纯水进行多次冲洗后使用38 μm孔径的滤网过滤,收集滤网上的残留物在徕卡体式显微镜(S9E)下用镊子分别提取枝角类和摇蚊头壳亚化石,将提取的样品装入超净锡杯中在50℃烘箱中烘干待测。枝角类仅提取到Daphnia休眠卵,提取的摇蚊头壳未区分属种。为了满足同位素分析的最小重量(0.2 mg),将部分邻近层位的Daphnia休眠卵样品进行了合并,沉积物钻孔顶部18 cm共获得13个Daphnia休眠卵样品和18个摇蚊头壳样品。
2.3 沉积物多指标分析
碳氮元素含量(TOC、TN)及稳定同位素(Daphnia休眠卵、摇蚊头壳、沉积物有机质δ13C和δ15N)通过自动FLASH EA元素分析仪(Thermo Scientific,美国)连接的稳定同位素质谱仪(Thermo Scientific MAT253,美国)测定。元素含量分析精度在±1%以内,稳定同位素分析精度在±0.15‰以内。
磁化率可以有效反映流域侵蚀强度变化[31]。使用英国Bartington公司生产的MS-2型磁化率仪测定磁化率,具体方法为:将冷冻干燥的沉积物装入1 cm3无磁聚苯乙烯测试盒内并压实,放入磁化率仪进行测试。每个样品均进行两次测量,以减小误差,并取两次测量的算术平均值作为最终结果。
烧失量(loss on ignition,LOI)可以反映湖泊沉积物中有机质的含量[5],其测定方法如下:先将烘干至恒重的坩埚重量记录为M0;称取0.3 g沉积物干样于坩埚中,在105℃烘箱中烘干至恒重,冷却后称重记录为M105;再将坩埚放入马弗炉中升温至550℃持续4 h,冷却至室温后立即称重,记录为M550。最后利用不同温度处理后样品损失的重量即可计算出LOI550[32]。
沉积物粒度通过激光粒度仪测定[33]。取约0.5 g样品置于100 mL烧杯中,加入10 mL 10%的过氧化氢(H2O2)溶液,水浴加热去除有机质;无气泡产生后加入10 mL 10%的稀盐酸(HCl)溶液,去除碳酸盐;待反应结束,加入超纯水静置12 h,抽去上层清液,清洗至中性后加入10 mL含量为10%的六偏磷酸钠((NaPO3)6)溶液作为分散剂,超声波振荡10 min后,利用英国Malvern公司生产的Mastersizer-2000激光粒度仪测定。
沉积物叶绿素a采用紫外分光光度法测定[34]。称取0.4 g沉积物干样放入50 mL聚乙烯离心管中,加入90%丙酮25 mL,摇匀后静置10 h以上;用离心机在3500 r/min速度下离心10 min,将上清液过滤至100 mL容量瓶。同样操作反复萃取3次,将萃取液都过滤到容量瓶中,最后用90%丙酮定容至100 mL,取10 mL萃取液,使用岛津UV-1750紫外可见分光光度计在666 nm波长处测量吸光值并计算含量。
沉积物总磷(TP)含量采用碱熔-钼锑抗分光光度法测定[35]。称取0.3 g沉积物干样于镍坩埚之中,加入几滴无水乙醇湿润样品,加入2 g氢氧化钠后放入马弗炉内分别经400和640℃加热15 min;冷却后取出,在坩埚内加入10 mL去离子水加热至80℃,待熔块溶解后,将所有溶液转移至50 mL离心管内,再用10 mL 3 mol/L的硫酸溶液润洗坩埚,将所有溶液转移至离心管中;用离心机在3500 r/min速度下离心10 min,将上清液转移至100 mL容量瓶,用去离子水定容;取10 ml样品置于比色管中,加入2滴0.002 g/mL 的2,4二硝基酚指示剂,加入1 mL 0.1 g/ml的抗坏血酸溶液,30 s后加入2 ml 0.13 g/ml的钼酸盐溶液,室温下放置15 min,在700 nm波长处测量吸光值并计算含量。
2.4 区域数据收集
研究区年平均气温和降水量数据取自距离太极湖最近的气象站点丽江站(海拔2400 m)的气象监测数据(1951—2020年)(来源于国家气象数据网http://data.cma.cn/)。本研究时间段为1860—2021年,气象站监测数据不能满足所探讨的时间尺度需求,因此截取了1860年以来太极湖下游高山湖泊天才湖基于BrGDGT(branched glycerol dialkyl glycerol tetraethers,支链甘油二烷基链甘油四醚)指标重建的年平均气温数据作为本研究的历史温度数据[36]。丽江1951—2020年气象监测年均温与天才湖基于BrGDGT指标重建的年均温呈显著正相关关系(r=0.76,P<0.001),说明重建的天才湖温度数据能较好地代表该地区过去的温度变化过程。同时截取了1860年以来滇西北树轮重建的scPDSI(self-calibrating palmer drought severity index)指数[37],该指数反映区域干湿变化。丽江1951—2020年气象监测年均降水与重建的scPDSI指数呈显著正相关关系(r=0.36,P<0.05),说明树轮重建的scPDSI指数能较好地反映研究区过去的降水变化过程。
2.5 统计分析
首先应用限制性聚类分析(CONISS)方法对枝角类地层图进行聚类分析,使用Broken-stick模型来确定显著区域的数量。通过去趋势对应分析(DCA)确定枝角类群落变化梯度的最大长度。由于枝角类DCA轴1的梯度长度较短(0.55 SD),故选用主成分分析(PCA)识别枝角类群落变化的主要特征并使用Broken-stick模型来确定PCA轴的显著性。应用冗余分析(RDA)识别驱动枝角类群落变化的主要环境梯度,首先对枝角类物种百分比数据进行平方根转化以进行稀有度矫正,对环境数据进行Z值标准化以确保各环境数据更符合正态分布,选择显著性(P<0.05)的环境因子,剔除其中膨胀系数(variance inflation factor,VIF)大于10的环境因子,然后进行前向模型选择选出显著的环境变量,生成RDA排序图。进一步开展方差分解分析(variance partitioning analysis,VPA),将筛选的环境因子用于简约模型选择并生成韦恩图(Venn),从而定量识别不同环境因子对枝角类群落的驱动强度。Pearson相关分析用于探究气候环境变化对湖泊营养水平、初级生产力和枝角类群落及碳稳定同位素的驱动影响。使用Student's t-test对不同时间窗口枝角类和摇蚊亚化石δ13C值进行差异性显著检验。本研究中,所有统计分析均在R软件(版本4.3.1)中完成,枝角类地层图在Tilia(版本1.7.2)中绘制完成。
3 结果
3.1 年代学结果
基于沉积物放射性核素中210Pb、137Cs的比活度,利用CRS模型建立了湖泊钻孔年代序列(图2)。钻孔210Pb比活度随沉积物样品深度的增加呈现逐渐下降的趋势,并在18 cm左右衰变到地质背景值,137Cs比活度在8.5 cm处达到峰值(图2a)。根据CRS年代模型计算出沉积物从表层样品到底部18 cm深度的年代序列,并根据沉积通量(DMAR)计算出整个钻孔的平均沉积通量为0.009 g/(cm2·a),处于较低水平。1970s以来,沉积通量上升明显,平均为0.013 g/(cm2·a)(图2b)。

图2太极湖钻孔210Pb和137Cs比活度(a)与CRS年代模型和沉积通量(b)
Fig.2210Pb and 137Cs specific activity (a) and CRS age model and DMAR (b) from the sediment core of Lake Taiji
3.2 环境指标变化特征
监测记录显示(图3),丽江1951—2020年年均温总体呈上升趋势,升温约1.5℃。天才湖重建的温度序列显示,该地区气温在近200年来总体呈波动上升趋势,1860—1940s期间年均温为1.2℃,1940s之后年均温波动上升至2.6℃。树轮重建的scPDSI指数显示在过去近200年中地区干湿状况出现较明显波动,1990—2010s是该地区近200年以来最湿润的时期,监测记录也显示这一时期降水偏多(平均降水量为1008.67 mm)。
沉积物多指标显示,太极湖生态环境自1940s来发生明显变化(图3)。钻孔中值粒径、磁化率、TN含量、沉积物叶绿素a和LOI550在1860s-1940s期间处于相对较低水平,平均值分别为12.17 μm、9.3×10-8 m3/kg、2.48 mg/g、27.8 μg/g和34.23%。1940s-2020s期间中值粒径、磁化率、TN含量、沉积物叶绿素a含量和LOI550呈上升趋势,平均值分别增加至11.45 μm、15.2×10-8 m3/kg、3.48 mg/g、33.25 μg/g和38.39%。沉积物TP含量在1860s-1940s期间平均值为1 mg/g,1940s以来降低至0.86 mg/g。沉积物δ13Corg在1860s-1940s期间平均值为-25.67‰,1940s-2000s期间有所偏负,平均值为-26.02‰,2000s以来呈富集趋势,平均值为-25.58‰。沉积物δ15N在1.88~2.69‰之间变化,在1860s-1970s期间平均值为2.09‰,自1890s开始出现较明显偏负趋势,1970s以来则呈富集趋势,平均值为2.43‰。沉积物碳氮比(C/N)值总体在13~18之间(平均值为15.45),1860s-1940s之间平均值为16.57,1940s-2020s期间呈持续下降趋势(平均值为14.92)。

图3沉积物多指标、丽江站气象监测数据(红线)和区域重建气候记录(黑线)变化序列
Fig.3Variation sequence of multi-index of sediment, meteorological monitoring data (red line) of Lijiang station and regional reconstruction climate record (black line)
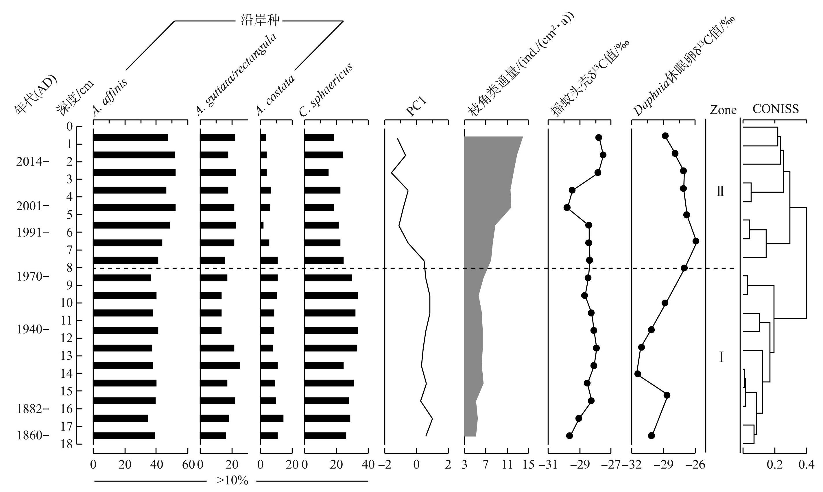
3.3 枝角类群落组合变化
太极湖钻孔中共鉴定出枝角类5属11种,以沿岸种盘肠溞科为主要优势种(图4)。美丽尖额溞(Alona affinis)(平均相对丰度为42.9%)和圆形盘肠溞(Chydorus sphaericus)(平均相对丰度为26.09%)为主要优势种,浮游种仅有象鼻溞属(Bosmina)在部分深度少量出现,溞属(Daphnia)主要以休眠卵的形式存在。整个沉积物钻孔序列中,枝角类群落以A. affinis相对丰度上升并伴随着C. sphaericus相对丰度下降为主要特征。根据枝角类属种相对丰度PCA分析结果,提取了PC1得分代表枝角类群落变化的主要方向,同时依据属种相对丰度数据的聚类分析结果,枝角类群落(相对丰度>10%)可划分为两个组合带:
组合带Ⅰ(1860s-1970s):沿岸种A. affinis(平均相对丰度为38.63%)和兼浮游种C. sphaericus(平均相对丰度为30.16%)为主要优势种;点滴尖额溞/矩形尖额溞(Alona guttata/rectangular)(平均相对丰度为17.86%)和方形尖额溞(Alona costata)(平均相对丰度为10.36%)相对丰度较低。枝角类通量相对较低,平均为(5.84±0.63)ind./(cm2·a)。
组合带Ⅱ(1970s-2020s):主要优势种A. affinis相对丰度明显上升(平均为48.29%),兼浮游种C. sphaericus相对丰度明显下降(平均为21%)。A. costata相对丰度也呈下降趋势(平均为5.44%),A. guttata/rectangular变化不明显(平均20.27%)。枝角类通量在1970s-2020s期间平均为(9.52±2.97) ind./(cm2·a),相较于1860—1970s增加近1倍。

图4太极湖钻孔主要枝角类属种(>10%)组合及摇蚊头壳和Daphnia休眠卵δ13C值变化特征
Fig.4The main cladoceran species (>10%) assemblages in the sediment core of Lake Taiji andvariation characteristics of δ13C values of chironomid headshield and Daphnia ephippia
RDA结果显示(图5a),驱动太极湖近200年来枝角类群落变化的显著环境因子为年均气温和沉积物叶绿素a。1860s-1970s期间的样点排列在第1轴正半轴方向,1970s-2020s期间的样点处于第1轴的负半轴方向。RDA轴1解释了枝角类群落变化的25.61%,与年均气温和沉积物叶绿素a显著相关,轴2则解释了枝角类群落变化的3.64%。为了识别显著环境因子对枝角类群落变化的驱动强度,将显著环境因子进行方差分解分析,其中沉积物叶绿素a指示了湖泊藻类初级生产力,年均气温指示了地区气温变化状况。不同时间窗口显著环境因子方差分解结果显示,在1860s-2020s期间(图5b),年均气温独立解释了枝角类群落方差的4.9%,沉积物叶绿素a仅独立解释了1.4%,在这一时期年均气温和沉积物叶绿素a的协同作用对枝角类群落的影响最为明显,共同解释量为17.8%。自1970s以来(图5c),年均气温对枝角类群落方差的独立解释比例增加至6.4%,而沉积物叶绿素a对枝角类群落方差的独立解释比例增加至9.8%。
相关分析结果显示,沉积物叶绿素a含量与TN含量(r=0.95,P<0.001,图6a)、年均气温(r=0.94,P<0.001,图6b)和TP含量(r=-0.76,P<0.001,图6c)显著相关,说明温度和营养盐可能驱动了湖泊初级生产力的变化。枝角类群落PC1得分变化与年均气温呈显著负相关关系(r=-0.83,P<0.001,图6d),枝角类优势种A. affinis与年均气温呈显著正相关关系(r=0.83,P<0.001,图6e)。此外,枝角类通量与年均气温(r=0.96,P<0.001,图6f)呈显著正相关关系,说明年均气温变化可能会对枝角类群落和生物量产生重要影响。值得注意的是,摇蚊头壳δ13C值与沉积物δ13Corg值(r=0.49,P<0.05,图6g)呈显著正相关关系,指示了底栖食物网碳源可能受到沉积物有机质来源变化的影响。Daphnia休眠卵δ13C值与沉积物C/N值(r=-0.57,P<0.05,图6h)呈显著负相关关系,表明浮游枝角类Daphnia碳源可能受到湖泊内源藻类生产力和外源输入变化的影响。
3.4 沉积物有机质、Daphnia休眠卵和摇蚊头壳δ13C值变化特征
太极湖近200年以来,沉积物δ13Corg值在1860s-1940s期间平均为-25.67‰,1940s-2020s期间平均为-25.86‰,两个时间段之间差异不显著(图7a)。摇蚊头壳δ13C值在-29.09‰~-27.35‰之间变化,1860s-1940s期间平均为-28.12‰,1940s-2020s期间平均为-28.07‰,1940s前后差异不显著(图7b)。Daphnia休眠卵δ13C值在-31.08‰~-26‰之间变化,1940s前后两个时间段的Daphnia休眠卵δ13C值差异明显,在1940s-2020s期间显著富集(图7c)。值得注意的是,摇蚊头壳 δ13C值 (平均值为-28.1‰)和Daphnia休眠卵δ13C值(平均值为-28.78‰)相较于沉积物δ13Corg值(平均值为-25.79‰)偏负约2‰~3‰。

图5太极湖钻孔枝角类群落RDA三序图(a),以及1860s-2020s(b)和 1970s-2020s(c)期间驱动枝角类群落变化的方差分解结果
Fig.5RDA tri-sequence diagram of cladoceran communities in the sediment core of Lake Taiji (a) , and variation partitioning results showing the proportion of two key environmental factors in explaining the change of cladoceran community during 1860s-2020s (b) and 1970s-2020s (c)

图6沉积物叶绿素a、枝角类PC1样点得分、枝角类通量等与主要环境因子的相关关系
Fig.6The correlation between sediment chlorophyll-a, cladoceran PC1 sample point score, cladoceran flux and main environmental factors

图71940s前后沉积物有机质(a)、摇蚊头壳(b)和Daphnia休眠卵(c)的δ13C值变化箱线图及显著性检验结果(星号表示显著性:**0.001<P<0.01,ns表示不显著)
Fig.7Box plots of changes in δ13C values and significance tests for sediment organic matter (a) , chironomid headshield (b) and Daphnia ephippia (c) before and after 1940s
4 讨论
4.1 近200年来太极湖环境变化特征
磁化率指物质在磁场中被磁化的程度,反映的是磁性矿物的含量和类型等信息,受物源、搬运和流域侵蚀强度等作用综合影响,间接反映了气候变化过程[38]。太极湖磁化率与年均气温(r=0.90,P<0.001)和树轮重建scPDSI指数(r=0.62,P<0.01)呈显著正相关关系(附图Ⅰ),指示了气温和降水变化对流域侵蚀强度的影响。太极湖湖泊面积和流域面积都相对较小,湖泊沉积物的来源稳定且相对单一。该区域自1940s以来存在明显的升温过程且地区降水也有增加趋势,气候暖湿化会改变土壤微生物活性[39],进而影响流域物理风化、侵蚀过程,也会通过流域植被发育作用于流域营养物质输出过程[13]。沉积物TN含量与磁化率呈显著正相关关系(r=0.83,P<0.001,附图Ⅰ),自1940s以来TN含量和磁化率同步上升。气候条件的改变可能促进了流域植被发育和土壤中营养物质的释放,较多外源营养物质输入促进了沉积物TN含量的增加。
此外,大气氮沉降也可能影响了湖泊氮素输入过程。研究表明,高山湖泊氮素输入会受到大气氮沉降影响[6],滇西北地区存在明显的大气氮沉降信号[40],在引起湖泊沉积物δ15N偏负的同时也促进了沉积物TN含量的增加。太极湖沉积物δ15N自1890s开始逐渐偏负(图3),表明大气氮沉降是太极湖氮素持续输入的重要因素。1970s以来δ15N信号出现偏正趋势,与沉积物叶绿素a同步增加相对应,δ15N信号可能受到湖泊内源藻类增加的影响,与Kang等[5]利用沉积物δ15N值和Hg含量指标记录的太极湖氮沉降过程基本一致。除少部分大气活性氮直接沉降到湖泊水体外,大部分活性氮首先沉降到流域地表,可被植被与土壤微生物吸收利用,导致湖泊活性氮输入减少[6]。因此,太极湖沉积物的δ15N信号可能受到大气沉降、湖泊藻类生产力和流域过程的综合影响。
沉积物叶绿素a自1940s以来呈现上升趋势(图3),表明湖泊初级生产力不断提高。相关分析显示沉积物叶绿素a与TN含量和年均气温呈显著正相关关系(图6a、b),反映了气候变化和营养盐输入对湖泊初级生产力的驱动作用。高山湖泊通常具有较长的冰封时间,而冰封时长与藻类生物量密切相关[41]。自上世纪中后期以来,研究区监测年均气温上升约1.5℃,气候变暖会缩短冰雪覆盖时间、延长藻类生长季节[5],从而提高湖泊初级生产力。此外,营养盐输入的增加以及增温导致湖泊内部营养盐循环加快,为湖泊藻类的生长带来营养物质[42]。在升温和营养盐增加的背景下,湖泊的总初级生产力会明显上升[43]。1940s以来,随着钻孔TN含量上升,沉积物叶绿素a也开始增加,指示了湖泊营养水平上升对湖泊初级生产力的促进作用。王教元[3]和Kang等[5]在高山湖泊太极湖和姐湖的研究也发现,1940s以来受区域气候变暖和大气氮沉降影响,沉积物叶绿素a含量升高。此外,LOI550自1940s以来出现了上升的趋势,与沉积物叶绿素a呈显著正相关关系(r=0.76,P<0.001),指示了藻类生物量的上升可能是湖泊有机质增加的重要影响因素。
值得注意的是,太极湖沉积物TP含量总体呈现下降趋势(图3)。钻孔TP含量与沉积物叶绿素a呈负相关关系(图6c),与富营养化湖泊中营养水平(TP)上升促进初级生产力(藻类)上升的模式[44]相反。TP含量的变化可能受到了湖泊内部磷的利用及循环模式的影响。野外调查显示,太极湖水体中TN浓度为0.39 mg/L,TP浓度为0.01 mg/L,TN/TP质量比为39,超过20,属于磷限制湖泊[45],与青藏高原东南缘4000 m以上的大多数高山湖泊营养限制模式相同[6]。对于贫营养的高山湖泊来说,藻类生物量的增加需要额外的营养补充,1940s以来,沉积物叶绿素a含量上升趋势明显,而沉积物TP含量出现下降趋势,可能是藻类的生长过度利用了水体中的磷导致的。同时,太极湖作为开放性湖泊(图1),部分藻类在死亡后可能未被埋藏在沉积物中,而是通过湖泊出水口流出,进而导致了沉积物中TP埋藏量的相对下降。李静等[46]在滇西北高山湖泊沃迪错的研究中也发现,沉积物叶绿素a与TP含量呈相反的变化趋势,可能受到了藻类生长利用的影响。
4.2 枝角类群落对近200年来气候变化和营养盐富集的响应
太极湖钻孔中枝角类以沿岸种A. affinis和兼浮游种C. sphaericus为主要优势种。已有研究表明,A. affinis可耐受冷水环境并具有较强的环境适应能力,在亚北极湖泊中也比较常见[47]。C. sphaericus常被认为是一个广布种[48],同时也能耐受贫营养、冷水环境而被定义为耐寒种或极地种[49],在低温、贫营养的高山湖泊和极地地区湖泊中均有分布[9]。枝角类PC1和优势种A. affinis与天才湖重建的年均气温显著相关(图6d、e),表明区域气候变化显著影响了枝角类的群落结构。温度变化会直接影响枝角类个体生长繁殖,还通过影响湖泊冰封时长、浮游生物生长期以及湖泊生产力水平,进而改变枝角类群落的物种组成和生物量[50]。在1860s-1970s期间,优势种A. affinis相对丰度较低,C. sphaericus相对丰度较高,可能反映了太极湖这一时期水体环境温度较低。1970s以来,A. affinis相对丰度的增加和C. sphaericus相对丰度的下降可能表明该湖泊自1970s以来受区域气候变暖影响,水体温度有所上升。Li等[51]对滇西北高山湖泊错恰湖的研究也发现,在全新世暖期A. affinis相对丰度持续增加而C. sphaericus相对丰度持续下降。
RDA分析结果显示,沉积物叶绿素a也是驱动枝角类群落变化的主要因子(图5a)。在贫营养的高山湖泊中,食物资源往往比较匮乏,藻类作为枝角类主要的食物来源,其生物量变化是影响枝角类群落结构变化的主要因素之一[52]。对钻孔1860s-2020s的方差分解表明(图5b),年均气温对枝角类群落变化的单独解释量最高,但对钻孔1970s-2020s的方差分解发现沉积物叶绿素a的独立解释量超过了年均气温的独立解释量,由1.4%上升到9.8%(图5c),说明1970s以来湖泊初级生产力(沉积物叶绿素a)取代年均气温,成为影响枝角类群落结构变化的主要驱动因素。王丹丹[40]在太极湖和天才湖的研究也发现,在1970s以前,枝角类群落结构变化主要受温度控制,但1970s以来,受区域气候变暖和营养盐输入影响,湖泊初级生产力成为枝角类群落结构变化的主要驱动因素。
此外,钻孔中枝角类通量总体呈现持续上升趋势(图4),反映了枝角类生物量不断增加的过程。钻孔枝角类通量的上升与沉积物TN含量和叶绿素a的增加呈同步趋势,反映了过去近200年来随着营养盐输入的增加,太极湖营养水平上升、初级生产力(沉积物叶绿素a)提高,并可能通过上行效应间接促进枝角类生物量的提高。钻孔枝角类通量也与年均温呈显著正相关关系(图6f),反映了近200年区域气候变化也是影响太极湖枝角类生产力变化的一个重要因素。枝角类的生长分布会受到气候变化的直接和间接影响,气候变暖会通过生长期的延长直接促进枝角类的生长,也会通过改变栖息地环境等方式间接地影响枝角类的生长和分布[44]。
4.3 气候环境变化对食物网碳源的影响
沉积物δ13Corg值反映的是湖泊有机质来源的综合信号,不同有机质端元(浮游植物、陆源碎屑和底栖藻类等)的δ13C信号差异明显,陆生C3和C4植物δ13C值分别位于-32.0‰~-22.0‰和-16.0‰~-9.0‰之间[53]。不同水生生物δ13C值也存在差异,浮游植物δ13C值位于-42.0‰~-22.0‰之间,而底栖藻类及沉水植物则主要利用水体中富集13C的无机碳(HCO-3等),其δ13C值(-28.0‰~-18.0‰)较浮游植物偏正[54],太极湖采样期间沉水植物无明显分布。结合C/N值可以提高有机质来源识别的准确性[40],陆生植物富含纤维素,C/N值一般大于20;浮游植物富含蛋白质,其C/N比值为4~10;当C/N值为10~20时,指示陆生植物或浮游植物的混合来源。太极湖沉积物C/N平均值约为15,1940s前约为17(图3),湖泊有机质以陆源输入为主。1940s以来,沉积物叶绿素a和LOI550持续上升,δ13Corg值和沉积物C/N值呈现同步偏负趋势,指示了湖泊内源有机质增加的过程。2000s以来,区域增温更为显著,可能减弱了藻类光合作用过程中的同位素分馏[55],同时增加了水体稳定程度,抑制了植物光合作用过程中CO2的扩散速度,藻类富集13C[56],使得沉积物δ13Corg值呈富集趋势。
浮游动物δ13C值主要受其利用的食物资源(浮游植物、陆源碎屑和细菌等)影响[15],不同食物资源对湖泊食物网贡献不同且δ13C值存在差异[57]。枝角类主要滤食水体中的藻类、细菌和有机碎屑;其中,浮游枝角类Daphnia主要生活在开放水域,会优先滤食浮游植物[58-59],尽管对于浮游动物来说陆源有机质食物质量较差[58],但在贫营养湖泊中陆源碎屑对Daphnia的贡献量往往较高[10]。摇蚊作为湖泊重要的底栖动物,其δ13C值通常反映底栖食物网有机质来源[25],受到浮游植物、底栖藻类和陆源输入等因素综合影响。太极湖钻孔中Daphnia休眠卵的δ13C值变化范围为-31.08‰~-26.00‰,摇蚊头壳δ13C值处于-29.09‰~-27.35‰之间,整体在浮游植物和陆生C3植物的δ13C值变化范围内,且揺蚊头壳δ13C值与沉积物δ13Corg值呈显著正相关关系(图6g),推测浮游植物和陆源有机质输入变化可能是影响Daphnia和摇蚊δ13C值的主要因素。此外,由于枝角类和摇蚊往往对不同食物资源进行选择性吸收和利用[15],导致枝角类和摇蚊亚化石δ13C值与沉积物有机质δ13C值通常存在显著差异[60],这可能是太极湖Daphnia休眠卵和摇蚊头壳与沉积物有机质δ13C值出现不同变化模式的重要原因。
Daphnia休眠卵和摇蚊头壳的δ13C值相较于沉积物δ13Corg值偏负幅度可达2‰~5‰(图7),表明浮游枝角类Daphnia和摇蚊的δ13C值还受到δ13C值偏负的碳源影响。研究表明,甲烷氧化菌在食物网中可以被湖泊浮游或底栖动物利用,成为浮游枝角类(如Daphinia)或底栖动物(如摇蚊)重要的碳源[24]。水生生物利用甲烷氧化菌会导致其δ13C值明显偏负。例如Schilder等[23]对欧洲15个湖泊研究发现,甲烷氧化菌是Daphnia休眠卵的δ13C值偏负至-40‰以下的重要原因。太极湖Daphnia休眠卵和揺蚊壳体的δ13C值在浮游植物和陆生C3植物的δ13C值变化范围内,虽相对沉积物δ13Corg偏负,但仍高于-32‰,推测可能受到水体甲烷氧化菌的影响,但不是影响两者δ13C值的主要因素,表明在贫营养的高山浅水湖泊中甲烷氧化菌可能对枝角类和揺蚊食物资源贡献较小,这与Mohamed等[61]对加拿大233个湖泊枝角类和摇蚊食物来源的研究发现一致,当枝角类和摇蚊亚化石δ13C值高于-35‰时,甲烷氧化菌通常不是枝角类和摇蚊吸收利用的主要碳源。
近200年来,太极湖Daphnia休眠卵和摇蚊的δ13C值变化趋势存在较明显差异(图4)。总体上,Daphnia休眠卵的δ13C值自1940s以来出现显著富集的趋势(P<0.01),但摇蚊δ13C值变化不显著(图7),表明食物网中浮游和底栖碳源对两者δ13C信号具有差异性影响。Daphnia休眠卵δ13C值与C/N呈显著负相关关系(图6h),说明Daphnia休眠卵的δ13C值主要受湖泊有机质来源和组成影响。本研究团队对太极湖流域夏季不同有机质端元的分析发现,陆生植物的δ13C值范围为-29.63‰~-25.28‰,平均值为-27.84‰,浮游植物δ13C值范围为-27.62‰~-24.43‰,平均值为-26.12(未发表数据),浮游植物δ13C值较陆生植物δ13C值偏正。1860s-1940s期间,Daphnia休眠卵δ13C值显著偏负,较低的沉积物叶绿素a含量和较高的C/N值指示湖泊内源初级生产力水平较低,推测这一时期流域陆生植物碎屑可能是Daphnia的主要食物来源。1940s以来,太极湖钻孔中沉积物叶绿素a含量上升和C/N比值下降表明内源有机质增加,Daphnia休眠卵的δ13C值呈富集趋势,由-30.00‰±1.02‰上升到-27.40‰±0.94‰,说明Daphnia偏向于利用内源浮游植物等食物资源。此外,Cazzanelli等[62]在北极地区的研究表明底栖藻类也是浅水贫营养湖泊中Daphnia的重要食物来源(碳源),太极湖底栖硅藻占比自1940s以来由约60%上升至接近85%[5],因此推测底栖藻类在Daphnia的食物组成中占比增加可能也是导致Daphnia休眠卵δ13C值自1940s以来偏正的重要原因之一。摇蚊头壳δ13C值在1990s-2010s期间偏负约1‰(图4),Daphnia休眠卵δ13C值也呈偏负趋势,重建scPDSI和监测的降水记录显示这一时期是研究区近200年来最湿润的时期,且沉积物中值粒径和磁化率都有所上升(图3),反映这个时期陆源有机质输入较之前有所上升,Daphnia和摇蚊对陆生植物碎屑的利用可能会增加。在区域气候变化和大气沉降背景下,高山湖泊太极湖Daphnia和摇蚊δ13C值受物种习性、流域输入、藻类群落和藻类生物量等因素综合影响,出现了较为明显的变化特征。
5 结论
沉积物多指标结果表明,太极湖近200年来出现了明显的生态环境变化。在区域气候变暖和大气沉降影响下,太极湖营养盐(TN含量)不断富集,促进了湖泊初级生产力(沉积物叶绿素a)上升,进一步影响了湖泊有机质含量和来源。枝角类群落结构在1970s发生较明显变化,优势种A. affinis相对丰度上升而兼浮游种C. sphaericus相对丰度下降,同时枝角类生物量呈持续增加趋势。区域气候变暖和湖泊初级生产力(沉积物叶绿素a)上升是影响枝角类群落结构和生物量变化的主要环境因子。枝角类和摇蚊亚化石稳定碳同位素结果显示,流域输入和湖泊初级生产力水平变化影响了太极湖食物网碳源组成。受湖泊初级生产力上升和底栖硅藻占比持续增加的影响,Daphnia休眠卵的δ13C值自1940s以来出现了显著富集的趋势。而摇蚊头壳δ13C值主要受陆源有机质输入影响,在1990s-2010s陆源输入增加时期出现较明显的偏负特征。
致谢:本研究工作的野外采样和分析测试工作得到了云南省高原地理过程与环境变化重点实验室王露、邓素炎、尹以裕等同学及福建师范大学地理科学学院雷国梁副研究员的支持,在此表示感谢。
6 附录
附图Ⅰ见电子版(DOI: 10.18307/2025.0555)。